公司业务 – 结构仿真分析
应用FEM(Finite Element Methods)有限单元法,MBD(MultiBody Dynamics)多体动力学等数值算法,结合行业标准规范和工程算法,对实体产品进行数值化建模。经过几何清理、网格生成等步骤生成高质量网格模型用于有限元计算。
结构仿真分析类业务包括:
1、 复杂系统模型前处理和高质量网格生成
2、 结构静力分析计算;
3、 频率模态和动态响应分析计算;
4、 结构稳定性分析;
5、 材料非线性、接触非线性分析;
6、 显式动力学分析计算;
7、 传热计算,热固耦合计算;
8、 流固耦合计算和其他多物理场耦合计算;
成功案例
- 空间机械臂末端执行器力学分析
通过动态响应分析和强度分析,判断设计结构能否满足鉴定级以及验收级技术要求。
根据模型特点和分析需求,对有限元模型进行了简化处理。
空间机械臂末端执行器关节部分的力学分析包含如下内容:弯曲刚度分析、齿轮传动系统的扭转刚度分析、输出齿轮组件拉压刚度分析、模态和频响分析。
再完成上述分析之后,给出校核结果和判断,给出设计修改方向和建议。
- 航天电子控制设备结构力学分析
某卫星控制单元承受发射、运行、载入等力学环境,通过有限元方法对卫星控制单元进行动态响应分析(模态分析、随机响应分析)、冲击分析(响应谱分析),并在考虑结构连接和密封细节,对橡胶垫进行压紧分析。通过有限元仿真对结构设计的静强度和动强度给出安全性判定。
- 卫星驱动控制单元结构力学分析
通过有限元建模和仿真,对卫星控制单元(ACU)在承受发射、运行、载入等标准工况下的产品安全性进行校核计算,通过动态响应分析和强度分析,判断设计结构能否满足鉴定级以及验收级技术要求。共完成如下分析类型:动态响应分析(模态分析、稳态响应分析、随机响应分析
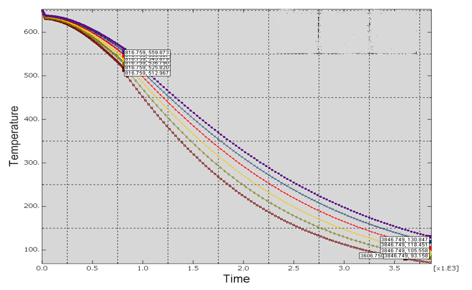
- 钢管焊接和冷却工艺过程仿真
项目包含:ERW生产线专用管焊接后钢管的冷却模拟、热张减后钢管在冷床上的整体冷却模拟以及热处理后钢管在冷床上的整体冷却模拟。通过对这些冷却过程进行有限元模拟计算研究,可得出各个冷却过程中焊缝或钢管的冷却曲线。通过对冷却曲线的研究,可验证冷床的尺寸是否满足工艺要求,同时可以在生产工艺的制订
过程中作为参考。




